https://doi.org/10.22379/2422402232
Revisión
Uso de lacosamida en pacientes pediátricos con epilepsia refractaria como terapia adjunta, revisión sistemática de la literatura
Use of Lacosamide in pediatric population with refractory epilepsy as an adjunctive therapy, a systematic review of literature
Johann Sebastián Ortiz de la Rosa (1), Silvana Ramírez (2), María Camila Rueda (3)
(1) M.D. Residente III Neuropediatría, Universidad Nacional de Colombia. Bogotá, Colombia.
(2) Médica General. Universidad Nacional de Colombia. Bogotá, Colombia.
(3) Médica General. Pontificia Universidad Javeriana. Bogotá, Colombia.
Recibido: 12/02/15. Aceptado: 25/05/15.
Correspondencia: Johann Sebastián Ortiz de la Rosa: jsortizd@gmail.com
Resumen
Objetivo: presentar la evidencia publicada hasta el momento acerca de la utilidad de la lacosamida en población pediátrica con epilepsia refractaria.
Métodos: se realizaron búsquedas en las bases de datos electrónicas PubMed, Embase, Cochrane y Scielo, encontrando un total de 18 artículos que cumplieron los criterios de búsqueda.
Hallazgos principales : lacosamida, uno de los fármacos anticonvulsivantes nuevos, ha sido aprobado como terapia adjunta en epilepsias de inicio focal y epilepsias refractarias en pacientes mayores de 16 años, pero existe creciente evidencia de su eficacia y seguridad en población pediátrica desde los 4 años. Los efectos adversos no difieren en gran medida de los demás anticonvulsivantes y su tasa de éxito es de aproximadamente el 8-40% de control total de crisis. Sin embargo, los estudios no tienen un seguimiento a largo plazo que demuestre que se mantiene este mismo control de crisis en el transcurso del tiempo. Adicionalmente, la lacosamida ofrece mejoría clínica independientemente del control de las crisis en cuanto al patrón motor y comportamental.
Conclusiones: Los estudios muestran que la lacosamida es una opción segura indicada para la epilepsia de inicio focal y epilepsia refractaria en la población pediátrica como terapia adjunta, debido a su efectividad en el control de crisis, perfil de seguridad, baja tasa de efectos adversos e interacción con otros medicamentos; no obstante, se requieren estudios con mayor número de pacientes y con seguimientos más prolongados.
Palabras clave: Eficacia de tratamiento, epilepsia refractaria, lacosamida, pediatría, seguridad (DECS).
Summary
Objetive: to present the evidence published about the usefulness of lacosamide in pediatric patients with refractory epilepsy, in order to explain its use in this population.
Methods: we conducted search in PubMed, Embase, Cochrane library and Scielo and found 18 articles that fulfilled the inclusion criteria.
Findings: lacosamide, is one of the newer AED (Antiepileptic Drugs) approved for focal refractory and focal onset epilepsies as an add on treatment in patients older than 16 years. However there is growing evidence of its use, security and efficacy in pediatric population from 4 years and above. Adverse effects do not differ from others found in others AED with success seizure free rates between 8 and 40%. Studies revisited had major issues on long term following. In addition, lacosamide improves behavioral and motor skills in children despite seizure control.
Conclusions: Studies shows lacosamide as a safe option in pediatric patients with focal onset and refractory epilepsies as an add on therapy given its seizure control, safety profile, low rate of adverse effects and interaction between others medications, however larger and long term studies are needed.
Key words. Child, refractory epilepsy, lacosamide, pediatrics, safety, treatment efficacy (MeSH).
Introducción
La epilepsia es una enfermedad con incidencia en la población pediátrica de aproximadamente 0,5-1% de la población general (1). Algunos estudios sugieren que hasta el 60% de los pacientes pediátricos con epilepsia presentarán remisión de su condición; sin embargo, alrededor del 20-30% de los pacientes con epilepsia serán refractarios al tratamiento médico de la epilepsia (1-3), es decir, no lograrán tener control de las crisis a pesar del manejo con dos fármacos antiepilépticos indicados, suministrados a una dosis adecuada (2).
Entre las estrategias de tratamiento actuales para pacientes pediátricos con epilepsia refractaria se encuentran la dieta cetogénica, cirugía de epilepsia o estimulación del nervio vago; no obstante, la meta de control de crisis podría estar en los nuevos fármacos anticonvulsivantes, ya que cuentan con mecanismos de acción novedosos que han sido diseñados para disminuir las interacciones con otros fármacos, al igual que los efectos adversos, intentando mantener un control de crisis similar a los fármacos de primera línea (1).
La lacosamida es uno de los últimos anticonvulsivantes disponibles en el mercado. La Comisión Europea aprobó su uso desde agosto de 2008, seguido de aprobación por la FDA (Food and Drug Administration, Administración de Alimentos y Medicamentos) en octubre del 2008, con una indicación de uso como terapia adjunta en epilepsias de inicio parcial en pacientes mayores de 16 años (1, 4, 5); también se han realizado estudios que demuestran su utilidad en el manejo de epilepsia refractaria tanto en adultos como en niños, presentando adecuada tolerancia y control de las crisis (6, 7).
Métodos
Se realizaron búsquedas en las bases de datos electrónicas PubMed, Embase, Cochrane y SciELO.
Los términos MESH empleados en PUBMED fueron epilepsy AND lacosamide AND children. Se encontraron treinta y un artículos, de los cuales se descartaron dos por estar basados en población adulta, tres por no describir aspectos relevantes de la lacosamida, cuatro por no estar relacionados con el tema, cuatro por abordar únicamente estatus epiléptico y no epilepsia refractaria, y uno por encontrarse escrito en ruso. Se realizó la revisión de un total de diecisiete artículos de esta base de datos.
Los términos utilizados en la base de datos Embase fueron: refractory AND epilepsy AND children AND lacosamide, encontrando treinta y siete artículos en total, de los cuales fueron legibles ocho. La búsqueda de artículos en Cochrane con los mismos términos arrojó dos artículos, de los cuales solo uno fue elegible. En Scielo no se encontraron artículos con los mismos términos en inglés, español o portugués.
Lacosamida
Mecanismos de acción
Promueve la inactivación lenta de los canales voltaje-dependientes de sodio (VGSC, Voltage Gated Sodium Channel), permitiendo que el proceso de despolarización de las neuronas sea más lento, lo cual lo diferencia de otros fármacos bloqueadores de canales de sodio (1, 2, 5).
Mediante la despolarización prolongada se generan cambios conformacionales en la porción de unión a membrana del canal de sodio con aumento de la fracción de canales no viables para la despolarización. De esta manera, produce una hiperpolarización que es lenta (segundos de duración) (1) y se obtiene una estabilización de la membrana neuronal con inhibición de la activación neuronal repetitiva (5).
La lacosamida solo actúa sobre los canales que se han despolarizado o que tienen un patrón de descargas repetitivo; no actúa, por lo tanto, sobre todos los canales de sodio y no conlleva compromiso de la función fisiológica, lo cual diferencia a la lacosamida de otros anticonvulsivantes que actúan en los canales de sodio (3, 5, 8).
Adicionalmente, interactúa con el mediador 2 de la proteína funcional de respuesta a colapsina (1), que actúa reduciendo la excitotoxicidad inducida por el glutamato (5), cuyos efectos se evidencian en la diferenciación neuronal, el crecimiento y la despolarización axonal involucrados en el desarrollo de epilepsia (3, 5); este mecanismo de acción ha sido controvertido en las últimas investigaciones (6, 7).
Indicaciones
Epilepsia focal refractaria y epilepsias primarias generalizadas refractarias, como terapia adjunta al tratamiento de primera línea.
Farmacocinética
La lacosamida tiene un comportamiento farmacocinético lineal (1-3). La Tabla 1 describe las características farmacocinéticas de este medicamento.

Presentación
La información acerca de la presentación de lacosamida es discutida en la revisión de artículos y consultada en la página web del Invima (invima.gov.co): actas 19, 29 y 43 de 2011.
- Tabletas de 50, 100, 150 y 200 mg
- Solución oral 10 mg/mL
- Vial 200 mg / 20 mL
Posología
La dosis inicial es de 1-2 mg/kg/día y se realizan ajustes semanales aproximadamente de 1 mg/kg hasta llegar a la dosis final en 4-6 semanas (3, 5, 8), alcanzando dosis de hasta 15,5 mg/kg/día (10); incluso se han realizado estudios en los que se emplean dosis hasta de 20 mg/kg/día sin evidencia de efectos adversos (9). La dosis media de mantenimiento oscila entre 6-7 mg/kg/día dividida en dos dosis por día (2, 12).
En casos en los que el paciente se encuentre en diálisis, la lacosamida se elimina por esta vía, por lo que se recomienda un aumento del 50% cuatro horas después de esta (5).
Tolerancia y efectos adversos
En general la lacosamida es bien tolerada; los efectos adversos más frecuentes son los síntomas del sistema nervioso central, relacionados con la dosis y con desaparición posterior al retiro del fármaco (1, 5, 9). El estudio de Casas-Fernández no encontró relación entre la dosis recibida por los pacientes y la presentación o severidad de efectos adversos (8).
Más de 10% de los pacientes tratados con dosis superiores a 400 mg/día (mayor incidencia en pacientes con dosis superiores a 600 mg/día (8)) presentaron vértigo, mareo, náuseas, cefalea y diplopía (1). Adicionalmente se ha reportado inestabilidad en la marcha, ataxia, hiperactividad, insomnio, tics orales, llanto incoercible, aumento de peso, alargamiento del intervalo P-R en el electrocardiograma y reacciones cutáneas severas (2, 5, 9, 10).
En muy pocos casos se han visto elevaciones de las transaminasas, que vuelven a sus valores normales tras la suspensión del fármaco (5).
Existen casos en que la lacosamida trae efectos adversos de tal impacto que se requiere su suspensión inmediata; por ejemplo, en el estudio de Buck un paciente en politerapia con levetiracetam, fenobarbital, lamotrigina y clonazepam desarrolló ideaciones suicidas tras el inicio de tratamiento con lacosamida y los síntomas desaparecieron al momento del retiro de la lacosamida (5). En el estudio de Pasha un paciente presentó hiperactividad severa, agresividad e inatención, por lo que se suspendió la lacosamida, con resolución de los síntomas (9).
Interacciones
La concentración de lacosamida sérica se reduce hasta en un 25% en pacientes que están en tratamiento con fármacos antiepilépticos inductores de sistemas enzimáticos hepáticos, adicionalmente con el uso de rifampicina o hierba de San Juan (13).
Se puede ver reducción de los niveles séricos de carbamazepina, fenitoína y fenobarbital menores al 25% e incremento de las concentraciones séricas de estradiol hasta en un 20% (5).
Los efectos adversos de la lacosamida pueden ser potenciados cuando se utilizan otros fármacos que bloquean los canales de sodio voltaje-dependientes, por lo que se recomienda precaución y titulación más lenta, para evitar esta exacerbación de efectos adversos (5).
Evidencia clínica
En la revisión se encontraron tres grandes estudios con más de 400 pacientes con diagnóstico de epilepsia focal refractaria, entre quienes los había de 16 años o menos, y se evidenció una efectividad del 38-41% en el control de más del 50% de convulsiones (1, 3).
Algunos estudios en pacientes pediátricos con epilepsia refractaria muestran una eficacia (control de crisis mayor al 50%) que oscila entre 30-50%. Adicionalmente, se evidencia que la dosis de 400 mg/día presenta mejor perfil de seguridad (1, 5).
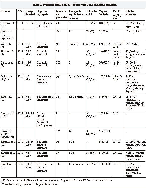
En la Tabla 2 se sintetizan los principales hallazgos clínicos del uso de lacosamida en los estudios revisados.

Es necesario aclarar que las publicaciones hechas hasta el momento acerca de la eficacia de la lacosamida en el manejo de epilepsias refractarias cuentan con un número reducido de pacientes; además, el seguimiento en el tiempo es irregular y corto, por lo que no se puede inferir con seguridad la eficacia a largo plazo.
En las diferentes poblaciones existe alguna variabilidad en los porcentajes de respuesta (definido como disminución de las crisis < 50%), la cual se encuentra alrededor del 50% y entre el 10-20% para la resolución total de las mismas, no se logra evidenciar asociaciones con un rango de edad especifico ni con algún tipo especial de síndrome epiléptico.
Como norma general, no hubo diferencias estadísticamente significativas entre el tipo de epilepsia o su etiología con respecto a la respuesta a lacosamida.
La asociación con otros anticonvulsivantes, en cuanto al control de crisis con los diferentes esquemas, no fue significativamente estadística, aunque algunos de los estudios sugieren como asociación mayor respuesta con valproato y levetiracetam (8).
Comportamiento y lacosamida
El estudio de Pasha y colaboradores, en India, incluyó 76 niños (53 varones y 23 mujeres) con edades comprendidas entre 5 y 15 años, que tuvieran epilepsia refractaria, a quienes se les inició manejo con lacosamida y se evaluó el comportamiento por medio de la escala de Conners (17).
El puntaje promedio del Conners en los pacientes fue de 48,04 +/- 10,57; el seguimiento tras tres meses de tratamiento presentó una puntuación de 19,27 +/- 8,03, con valores que se mantuvieron constantes en los siguientes controles, aunque solo 46 pacientes completaron tres meses de tratamiento y 30 lo continuaron con posterioridad al estudio; este es el primer estudio prospectivo que evalúa el comportamiento de los pacientes antes y después del inicio de un nuevo fármaco anticonvulsivante con resultados significativos; sin embargo la escala no se aplicó en pacientes con síntomas sugestivos de problemas de atención o hiperactividad, por lo tanto si bien los resultados son estadísticamente significativos debe tenerse en cuenta que la aplicación de esta escala no fue la adecuada, ni en una población adecuada (17).
Discusión
La elección de nuevos fármacos anticonvulsivantes en el tratamiento de epilepsias fármacorresistentes debe basarse en lograr la menor cantidad de efectos adversos posibles y la disminución de interacciones farmacológicas, así como lograr el mayor control de crisis posible; es por esto que la lacosamida desempeña un papel importante en este tipo de epilepsias, por su perfil de seguridad y su mecanismo de acción novedoso.
Los costos de estos fármacos hacen que su elección en países en vías de desarrollo sea limitado (2). Existe creciente evidencia que apoya el uso de lacosamida en población pediátrica, incluso hay por lo menos un estudio en el que su utilización fue adecuadamente tolerada en pacientes menores de 4 años (10).
Hay evidencia de que existe mejoría clínica aun si no se logra control de crisis, de ahí que la evaluación del patrón de comportamiento y el motor deben ser tenidos en cuenta cuando se inicie terapia con lacosamida (11, 12).
Se debe realizar electrocardiograma en todos los pacientes antes del inicio del tratamiento con lacosamida, ya que el alargamiento del intervalo P-R puede ser una contraindicación relativa para el uso de este fármaco antiepiléptico (11). Sin embargo, los reportes de alteraciones en la conducción cardíaca están basados en pacientes con patología cardiovascular previa o con riesgo inherente a sus patologías de base; el estudio de Casas-Fernández no encontró ninguna alteración cardíaca en la población pediátrica estudiada.
Los resultados en el síndrome de Lennox-Gastaut son contradictorios, pues muestran en algunos casos mejoría de más del 50%, mientras que en otro reporte las crisis empeoraron; en ninguno de los dos casos se describió la etiología ni el tratamiento concomitante (18).
Llama la atención que la tasa de persistencia de crisis en el estudio de Grosso fue del 50%, lo que obliga a hacer análisis de control de crisis con mayor duración de la terapia con lacosamida.
El estudio que evalúa pacientes con ESES (estado epiléptico continuo durante sueño profundo) plantea la posibilidad de que los pacientes con esta encefalopatía epiléptica que logren control del patrón electroencefalográfico podrían mejorar desde el punto de vista comportamental con el uso de lacosamida.
Conclusión
Existen estudios tanto prospectivos como retrospectivos, con seguimiento a corto y mediano plazo, que evidencian que el uso de lacosamida en pacientes en edad pediátrica es seguro, con tasas de efectividad similares a las de otros fármacos, pero con menor tasa de interacciones medicamentosas y con la facilidad de la administración dos veces al día, a diferencia de la mayoría de los otros fármacos anticonvulsivantes. El control total de crisis en los estudios oscila entre 8-40% de los pacientes; sin embargo, el seguimiento de estos pacientes es de poco más de un año, con estudios retrospectivos y con pocos pacientes, lo cual limita el poder de estas afirmaciones. Se requieren estudios prospectivos con discriminación por etiología y tipo de crisis, y con seguimiento a largo plazo, para poder determinar la eficacia y seguridad de este fármaco en la población pediátrica.
Conflicto de intereses
Los autores declaran no tener conflicto de intereses.
Referencias
1. CHU-SHORE CJ, THIELE EA. New Drugs for Pediatric Epilepsy. Semin Pediatr Neurol [Internet]. Elsevier Inc. 2010;17(4):214-23. http://dx.doi.org/10.1016/j.spen.2010.10.003.
2. ANEJA S, SHARMA S. Newer Anti-epileptic Drugs. Indian Pediatr. 2013;50:1033-40.
3. STEPHEN LJ, BRODIE MJ. Pharmacotherapy of Epilepsy Newly Approved and Developmental Agents. CNS 2011;25(2):89-107.
4. VISHWANATH VA, MCCOY L, LII M. What is the right dose of lacosamide in pediatric patients with intractable epilepsy? Epilepsy Behav [Internet]. Elsevier Inc. 2012;23(3):396-7. http://dx.doi.org/10.1016/j.yebeh.2012.01.014.
5. BUCK ML, GOODKIN HP, SERVICES P. Use of Lacosamide in Children with Refractory Epilepsy. J Pediatr Pharmacol Ther. 2012;17(3):211-9.
6. VERROTTI A, LOIACONO G, PIZZOLORUSSO A, PARISI P, BRUNI O, LUCHETTI A, ET AL. Lacosamide in pediatric and adult patients : Comparison of efficacy and safety. Seizure Eur J Epilepsy [Internet]. BEA Trading Ltd. 2013;22(3):210-6. http://dx.doi.org/10.1016/j.seizure.2012.12.009.
7. YORNS JR WR, KHURANA DS, CARVALHO KS, HARDISON HH, VALENCIA I. Efficacy of Lacosamide as Adjunctive Therapy in Children With Refractory Epilepsy. J Child Neurol. 2015;29(1):23-7.
8. RUFO-CAMPOS M, MARTI A, CASAS-FERNA C, SMEYERS-DURA P, CAMPOS-CASTELLO J. Efficacy and Tolerability of Lacosamide in the Concomitant Treatment of 130 Patients Under 16 Years of Age with Refractory Epilepsy. Drugs R D. 2012;12(4):187-97.
9. PASHA I, PHARM M, KAMATE M, DIDAGI SK. Efficacy and Tolerability of Lacosamide as an Adjunctive Therapy in Children With Refractory Partial Epilepsy. Pediatr Neurol [Internet]. Elsevier Inc. 2014;51(4):509-14. http://dx.doi.org/10.1016/j.pediatrneurol.2014.07.004.
10. GROSSO S, PARISI P, SPALICE A, VERROTTI A, BALESTRI P. Efficacy and safety of lacosamide in infants and young children with refractory focal epilepsy. Eur J Paediatr Neurol [Internet]. Elsevier Ltd. 2013;18(1):55-9. http://dx.doi.org/10.1016/j.ejpn.2013.08.006.
11. GUILHOTO LMFF, LODDENKEMPER T, GOOTY VD, ROTENBERG A, TAKEOKA M, DUFFY FH, ET AL. Experience With Lacosamide in a Series of Children With Drug-Resistant Focal Epilepsy. Pediatr Neurol [Internet]. Elsevier Inc. 2011;44(6):414-9. http://dx.doi.org/10.1016/j.pediatrneurol.2010.12.003.
12. SOO J, KIM H, CHAN B, CHAE J, CHOI J, JOONG K, ET AL. Lacosamide as an adjunctive therapy in pediatric patients with refractory focal epilepsy. Brain Dev [Internet]. The Japanese Society of Child Neurology 2014;36(6):510-5. http://dx.doi.org/10.1016/j.braindev.2013.07.003.
13. HEYMAN E, LAHAT E, LEVIN N, BERKOVITCH M, GANDELMAN-MARTON R. Preliminary efficacy and safety of lacosamide in children with refractory epilepsy. Eur J Paediatr Neurol [Internet]. Elsevier Ltd. 2011;16(1):15-9. http://dx.doi.org/10.1016/j.ejpn.2011.08.007.
14. GROSSO S, PARISI P, GIORDANO L, BALESTRI P. Lacosamide efficacy in epileptic syndromes with continuous spike and waves during slow sleep (CSWS). Epilepsy Res [Internet]. Elsevier B.V. 2014;108(9):1604-8. http://dx.doi.org/10.1016/j.eplepsyres.2014.08.021.
15. RASTOGI RG, NG Y. Lacosamide in Refractory Mixed Pediatric Epilepsy : A Prospective Add-on Study. J Child Neurol. 2015;27(4):492-5.
16. GAVATHA M, IOANNOU I, PAPAVASILIOU, S. Efficacy and tolerability of oral lacosamide as adjunctive therapy in pediatric patients with pharmacoresistant focal epilepsy. Epilepsy Behav [Internet]. Elsevier Inc. 2011 Abril [citado 2015 Enero 16];20(4):691-3. Disponible en: http://www.ncbi.nlm.nih.gov/pubmed/21406334.
17. PASHA I, KAMATE M, SURESH D. Effect of Lacosamide on Behaviour of Children with Refractory partial Epilepsy. Int J Pharm Pharm Sci. 2014;6(11):119-22.
18. GROSSO S, COPPOLA G, CUSMAI R, PARISI P, SPALICE A, FOLIGNO S. Efficacy and tolerability of add-on lacosamide in children with Lennox-Gastaut syndrome. Acta Neurol Scand. 2014;129(3):420-4.